次の方法で共有


Win32 アプリの置き換えの追加

Win32 アプリを Intune に追加した後、Intune を使用してアプリ間に 1 つ以上の置き換え関係を作成できます。 一般に、置き換えは、何かを更新または置き換える場所です。 Intune では、置き換えによって、既存の Win32 アプリを同じアプリまたはまったく異なる Win32 アプリの新しいバージョンに更新して置き換えることができます。 この記事では、置き換え機能の概要について説明します。

重要

Win32 アプリのバージョンを更新して置き換えることができる置き換えでは、現在、Win32 アプリをアプリの依存関係と交換することはできません。 アプリの依存関係の詳細については、「 依存関係」を参照してください。

置き換えリレーションシップは、Intune 内で Win32 アプリを追加または変更するときに作成できます。 置き換えの手順では、Win32 アプリに関連するすべての置き換え関係を指定できます。

Win32 アプリの置き換え手順のスクリーンショット

前提条件

アプリの置き換えは、Win32 アプリにのみ適用できます。 詳細については、「Intune に Win32 アプリを追加 する」を参照してください。

Win32 アプリの置き換えと他のアプリとの依存関係関係を作成および編集するには、Microsoft Intune のアクセス許可が必要です。 このアクセス許可は、Mobile アプリカテゴリの下で[関連付け]を選択すると使用できます。 2202 サービス リリース以降、Intune 管理者は、Microsoft Intune 管理センターで Win32 アプリを作成または編集するときに置き換えアプリと依存関係アプリを追加するために、このアクセス許可が必要です。 Microsoft Intune 管理センターでこのアクセス許可を見つけるには、[テナント管理>Roles>All roles>Create] を選択します。

この Win32 アプリの置き換えアクセス許可は、次の組み込みロールに追加されます。

  • アプリケーション マネージャー
  • 学校の管理者

注:

自動更新を使用して置き換えられたアプリを自動的に更新するには、「アプリの置き換 えで自動更新を使用する」を参照してください。

Intune で置き換え関係を作成する

次の手順は、アプリ間の置き換え関係を作成するのに役立ちます。

  1. Microsoft Intune 管理センターにサインインします。

  2. [ アプリ>すべてのアプリ] を選択し、一覧から Win32 アプリを選択します。 Win32 アプリを追加するには、「 Intune に Win32 アプリを追加する」を参照してください。

  3. 既存の Win32 アプリを選択したら、[プロパティ] を選択 します

  4. [置き換え] セクションで、[編集] >[追加] を選択して、置き換えるアプリを選択します。

    注:

    Intune では、置き換えの関係に最大で 10 個のノードを指定できます。

  5. [ アプリの追加 ] ウィンドウで置き換え関係を適用するアプリを見つけて選択します。 [選択] をクリックし、置き換えリストにアプリを追加します。

  6. 置き換えられたアプリの一覧で、選択した各アプリの [以前のバージョンのアンインストール ] オプションを変更して、アンインストール コマンドを Intune から選択した各アプリに送信するかどうかを指定します。 現在のアプリのインストーラーが選択したアプリを自動的に更新する場合は、アンインストール コマンドを送信する必要はありません。 選択したアプリを別のアプリに置き換える場合は、[ 以前のバージョンのアンインストール] オプションをオンにして、古いアプリを削除して置き換える必要がある場合があります。

  7. この手順が完了したら、[ 確認と保存>保存] を選択します。

    重要

    スーパースティング アプリでは、自動ターゲット設定は行われません。 有効にするには、各アプリに明示的なターゲット設定が必要です。 対象にされていないスーパーセール アプリは、エージェントによって無視されます。 置き換えられたアプリが置き換えられたデバイスを対象とするアプリの場合、置き換えられたアプリのターゲット設定の有無に関係なく、置き換えが行われます。 置き換え動作の詳細については、以下のマトリックスを参照してください。 この動作は、ターゲット設定を必要としない依存関係とは直接対照的です。 また、対象となるアプリのみが、Microsoft Intune 管理センターのインストール状態を表示します。

置き換え動作

スーパースティング アプリは、他のアプリを更新または置き換えるアプリです。 置き換えられるアプリは、更新または置き換えられるアプリです。 置き換えの動作は、次のシナリオに基づいて示すことができます。

シナリオ 必要な意図のターゲット設定 使用可能な意図のターゲット設定
シナリオ 1:
置き換えられたアプリがデバイスに存在し、[ 以前のバージョンのアンインストール][はい] に設定されています。
置き換えられたアプリがアンインストールされ、スーパースティング アプリがデバイスにインストールされます。

手記: 置き換えられたアプリが対象になっていない場合でも、アンインストールされます。

ポータル サイトに表示され、インストールできるのはスーパーシング アプリのみです。
シナリオ 2:
置き換えられたアプリがデバイスに存在し、[ 以前のバージョンのアンインストール][いいえ] に設定されています。
スーパースティング アプリがデバイスにインストールされます。 置き換えられたアプリをアンインストールするかどうかは、スーパーセディング アプリのインストーラーに依存します。 ポータル サイトに表示され、インストールできるのはスーパーシング アプリのみです。
シナリオ 3:
置き換えられたアプリがデバイスに存在しません。
スーパーシング アプリがインストールされます。 新しいアプリがポータル サイトに表示されます。

置き換え内でのアプリの更新とアプリの置き換えについて理解する

1 つのアプリに置き換えられたアプリが複数存在する可能性があるため、アプリは一連のアプリを更新しながら、別のアプリ セットを同時に置き換える可能性があります。

注:

エンド ユーザーは、特定の Win32 アプリの置き換え操作がポータル サイトの更新プログラムか置換操作かをチェックできません。 さらに、複数のアプリが、ポータル サイトで使用可能なターゲット設定でアプリを置き換える場合、置き換えられたアプリの詳細ページは、設定された最初のスーパーセディング アプリのアプリ ページに移動します。 たとえば、アプリ A がアプリ B と C に置き換えられた場合、アプリ B が最初にアプリ A に置き換えられると、ポータル サイトのアプリ A の詳細ページがアプリ B に移動します。

次のシナリオに基づいて、アプリの更新時とアプリの置き換え時の置き換えの適用方法について説明します。

顧客のシナリオ 説明 予期せぬ動作 追加情報
アプリの更新 IT 管理者は、同じアプリの新しいバージョンでアプリを更新したいと考えています。 新しいバージョンのアプリ (スーパーシング アプリ) のインストーラーは、古いバージョンのアプリを新しいバージョンに自動的に更新します。 インストーラーは更新を完了するため、アンインストール コマンドを古いバージョンに送信する必要はありません。 そのため、以前のバージョンのアンインストールはオフに切り替えられます。
アプリの置き換え IT 管理者は、アプリをまったく異なるアプリに置き換えたいと考えています。 置き換えられたアプリがアンインストールされ、スーパーシング アプリがインストールされます。 インストールとアンインストールの両方のアクションは、IT Pro で定義されているインストール/アンインストール コマンド ラインに基づいています。 2 つのアプリが異なるため、管理者は [以前のバージョンのアンインストール] トグルをオンにして、古いアプリをデバイスからアンインストールできます。

インプレース アプリの更新と置き換えアプリの更新について

次のシナリオでは、次のいずれかの種類の更新を実行した後、アプリ検出ルールを確認する必要があります。

更新プログラムの種類 説明と詳細を更新する
インプレース アプリの更新
  • インプレース アプリの更新では、管理者はアプリコンテンツの交換、メタデータの更新、検出コマンドとインストール コマンドの変更のみを行うことができます。
  • 管理は、インプレース アプリ更新プログラムを使用してアプリに保存されていないフィールドを変更することはできません。 たとえば、管理者は、更新プログラムと同時にターゲット設定を変更することはできません。
  • 管理は、インプレース アプリの更新を一度に 1 つのアプリでのみ実行できます。
置き換えアプリの更新
  • 管理は、新しい構成セットを使用してアプリ全体を更新できます。
  • 管理アンインストール コマンドを送信して、以前のアプリ バージョンをアンインストールするように選択できます。
  • 管理は、複数のアプリ バージョンを含むデバイスを、1 つの置き換え構成で最新のアプリ バージョンに更新できます。 管理者は、古いバージョンのアプリへのアクセスも保持します。

依存関係と置き換えの間の相互作用を理解する

依存関係と置き換えの間の相互作用には、次のものが含まれます。

  • 置き換えと依存関係の関係は、同じアプリ サブグラフで作成できます。
  • 強制は依存関係よりも置き換えを優先しますが、競合状態がある場合は、Intune によって報告されます。
    • 具体的な例: A は B に依存し、C は B を置き換える。は競合状態を報告します。
    • 具体的な例 #2: A は B に依存し、C は A を置き換えます。C がインストールされ、A が置き換えられます。 B は左に取得されます。
  • 置き換えは、特定のシナリオでは実行されません。
    • 例: A は B と C に依存し、B は C を置き換える。

置き換えの基本的な例

このドキュメントでは、すべてのアプリが対象 (デバイスまたはユーザーのターゲット設定) であり、適用されることを前提としています。

置き換えのシナリオ例の凡例

凡例 定義
凡例の置き換えのシナリオ例 1 A は、アプリの更新によって B に置き換えられます。
凡例置き換えのシナリオ例 2 A は、アプリの置き換えによって B によって置き換えられます。
凡例の置き換えのシナリオ例 3 はデバイス上に存在し、完全にインストールされ、定義された検出規則に合格します。
凡例置き換えのシナリオ例 4 がデバイスに存在しません。

ケースと解決の置き換えの例

ケース 解決方法 備考
ケース置き換えのシナリオ例 1 シナリオ: どちらのアプリもデバイスで検出されない。 A は、アプリの更新によって B に置き換えられます。

結果: B をインストールします。

アプリの更新は、管理者が構成段階で置き換えられたアプリをアンインストールしないことを選択したことを意味します。 上記の「アプリのデプロイの置き換え手順」を参照してください。
ケース置き換えのシナリオ 2 の例 シナリオ: デバイスで A のみが検出されます。 A は、アプリの更新によって B に置き換えられます。

結果: B をインストールします。

管理者が構成中に以前のバージョンをアンインストールしないことを選択したので、A は Intune によって明示的にアンインストールされません。 B のインストーラーの動作に基づいて、 をアンインストールできます。
ケース置き換えのシナリオ例 3 シナリオ: デバイスで B のみが検出されます。 A は、アプリの更新によって B に置き換えられます。

結果: 何もない。

B はデバイスで既に検出されているため、アクションは実行されません。
ケース置き換えのシナリオ例 4 シナリオ: どちらのアプリもデバイスで検出されます。 A は、アプリの更新によって B に置き換えられます。

結果: 何もない。

B はデバイスで既に検出されているため、アクションは実行されません。 管理構成時に以前のバージョンをアンインストールしないことを選択しているため、A はアンインストールされません。
ケース置き換えのシナリオ例 5 シナリオ: どちらのアプリもデバイスで検出されない。 A は、アプリの置き換えによって B によって置き換えられます。

結果: B をインストールします。

アプリの置換は、管理者が構成段階で置き換えられたアプリをアンインストールすることを選択したことを意味します。 上記の「アプリのデプロイの置き換え手順」を参照してください。
ケース置き換えのシナリオ例 6 シナリオ: デバイスで A のみが検出されます。 A は、アプリの置き換えによって B によって置き換えられます。

結果: A をアンインストールし、B をインストールします。

A はアンインストールされ、A がデバイスに存在しなくなったことをエージェントが検出すると、B がインストールされます。検出が引き続き A を検出する場合、エージェントは B をインストールしません。B がデバイスにインストールされているかどうかは、A がデバイスで検出されたかどうかに基づいて行われます。
ケース置き換えのシナリオ例 7 シナリオ: デバイスで B のみが検出されます。 A は、アプリの置き換えによって B によって置き換えられます。

結果: 何一つ

B は既にインストールされており、A がデバイスに存在しないため、アクションは実行されません。
ケース置き換えのシナリオ例 8 シナリオ: どちらのアプリもデバイスで検出されます。 A は、アプリの置き換えによって B によって置き換えられます。

結果: A をアンインストールします。

は、アプリの置換プロセスの一環としてアンインストールされます。 置き換えアプリが既にインストールされた後に置き換えられたアプリを検出すると、修復の適用が発生します。

チェーン置き換えシナリオの動作

置き換えチェーンは、複数のアプリが置き換え関係の一部である場合に発生します。 たとえば、IT 管理者は、App A を App B に置き換えてから、後で App C に置き換わるようアプリ B を構成できます。このシナリオでは、アプリ A、B、C の間に置き換えチェーンが作成されます (下の最初のケースに示すように)。 置き換えチェーンには、チェーン内に最大 10 個の関連ノードを含めることができます。 この最大値の詳細については、「 置き換えの制限事項」を参照してください。

置き換えチェーンの動作は、次のように要約できます。

  • 置き換えチェーン内のすべてのアプリは、チェーンのスーパーセディング アプリによって置き換えられます。 上記の例では、チェーンのスーパーセディング アプリは App C です。

置き換えチェーンの動作を理解するために、次の表にケースと解決策の一覧を示します。 これらの置き換えチェーンを確認するときは、すべてのアプリが対象であり、デバイスに適用可能であると仮定します。

ケース 解決方法 備考
ケース置き換えシナリオ 1 シナリオ: どのアプリもデバイスに存在しません。 アプリ間の関係は、アプリ更新プログラムの 1 つです。

結果: C をインストールします。

どのアプリもデバイスに存在しないため、スーパーセディング アプリ (App C) をインストールします。スーパースティング アプリは、チェーン内の他のすべてのアプリを置き換えるアプリを指します。
ケース置き換えシナリオ 2 シナリオ: デバイスにはアプリ A と C のみが存在します。 アプリ間の関係は、アプリ更新プログラムの 1 つです。

結果: 何一つ。

アプリ C は既にデバイスに存在しており、これはアプリの更新シナリオであるため、アプリ A はアンインストールされません。
ケース置き換えシナリオ 3 シナリオ: デバイスにはアプリ A のみが存在します。 アプリ間の関係は、アプリ更新プログラムの 1 つです。

結果: C をインストールします。

アプリ C をインストールします。アプリ A はアプリの更新シナリオであるためアンインストールされません。 C のインストーラーは、A を削除する動作を持っている場合とそうでない場合があります。"削除" は、(バージョン検出のために) 検出ルールを介して A が検出されなくなったことを意味します。
ケース置き換えシナリオ 4 シナリオ: デバイスには App C のみが存在します。 アプリ間の関係は、アプリ更新プログラムの 1 つです。

結果: 何一つ。

スーパーセディング アプリである App C は既にデバイスに存在するため、このケースはアプリの更新シナリオであるため、アクションは実行されません。
ケース置き換えシナリオ 5 シナリオ: どのアプリもデバイスに存在しません。 アプリ間の関係は、アプリの置き換えの 1 つです。

結果: C をインストールします。

どのアプリもデバイスに存在しないため、スーパーセディング アプリ App C をインストールします。
ケース置き換えシナリオ 6 シナリオ: アプリ A と C がデバイスに存在します。 アプリ間の関係は、アプリの置き換えの 1 つです。

結果: A をアンインストールします。

アプリ C はデバイスに存在し、この場合はアプリの置き換えシナリオであるため、アプリ A をアンインストールします。
ケース置き換えシナリオ 7 シナリオ: デバイスにはアプリ A のみが存在します。 アプリ間の関係は、アプリの置き換えの 1 つです。

結果: A をアンインストールし、C をインストールします。

このケースはアプリの置き換えシナリオであるため、アプリ A がアンインストールされ、スーパーセディング アプリである App C がインストールされます。
ケース置き換えシナリオ 8 シナリオ: デバイスには App C のみが存在します。 アプリ間の関係は、アプリの置き換えの 1 つです。

結果: 何一つ。

スーパーセディング アプリ (App C) はデバイス上に存在し、他の置き換えられたアプリは存在しないため、アクションは実行されません。

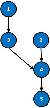
置き換えの制限事項

1 つの置き換えグラフには最大 11 個のノードしか存在できません。 ノードには、スーパーシング アプリ、置き換えられたアプリ、および後続のすべての関連アプリが含まれます。 次の置き換え図では、合計で 5 つのノードがあります。 そのため、最大ノード数に達するまで、さらに 5 つのノードを作成できます。

置き換えの最大ノード数の例

その他の置き換えの制限事項:

  • Azure Virtual Desktop マルチセッションでは、システム コンテキスト (デバイス ベース) アプリとの置き換え関係のみがサポートされます。
  • 対象となるアプリのみが、Microsoft Intune 管理センターのインストール状態を表示します。

アプリの置き換えで自動更新を使用する

ポータル サイトから展開された登録済みエンド ユーザーのデバイスで Win32 アプリケーションを自動的に更新できます。 利用可能として展開されているこれらの Win32 アプリは、アプリの置き換え関係を設定し、割り当てを設定するときに [自動更新] を選択することで、自動的に更新できます。 また、割り当ての種類は 、登録済みデバイスで使用可能である必要があります。

置き換えられたアプリをポータル サイトからインストールしたユーザーは、自動的にスーパーシング アプリを受け取ります。 置き換え自動更新は 、使用可能な 割り当てにのみ適用されます。つまり、 必要な 意図で置き換えられたアプリを持つユーザーは、スーパーセディング アプリを受け取りません。

次の手順は、アプリ間で自動更新置き換え関係を作成するのに役立ちます。

  1. 次の手順を使用して、別の Win32 アプリを置き換える Win32 アプリを追加します。Intune で置き換え関係を作成する

  2. [ 置き換え ] ステップで、更新されたアプリを追加します。

    アプリをスーパーシングするときの [アプリの追加] ウィンドウのスクリーンショット

  3. [ 割り当て ] ステップで、[ 登録済みデバイスに使用できる ] セクションの下にユーザーまたはデバイスのグループを追加します。

  4. [自動更新] 列で、グループの現在 の設定を 選択します。 [ 割り当ての編集] ウィンドウが表示されます。

    自動更新を設定するときの [割り当ての編集] ウィンドウのスクリーンショット

  5. [自動更新] オプション 選択します。

  6. [ OK] を選択 してウィンドウを閉じます。

  7. [ 次へ>作成 ] を選択して置き換え関係を作成し、Win32 アプリを自動更新します。

パフォーマンスの自動更新

ユーザーがスーパーシング アプリの自動更新を受け取るには、使用可能なアプリ用の 2 つのデバイス チェックインが必要です。

最初に使用可能なチェックインは、通常、割り当てが作成されてから 1 から 8 時間後に発生します。 2 つ目の使用可能なチェックインは、通常、最初のチェックから 8 時間後に発生します。 スーパーエディング アプリを受け取る合計時間は 8 から 16 時間です。 最適なシナリオでは、自動更新のパフォーマンスが速くなります。

自動更新の制限事項

Win32 アプリには、最大 10 個のスーパーシング アプリを使用できます。 ユーザーは、スーパーコンピューティング アプリを受け取るためにデバイスにログインする必要があります。

アプリがユーザーを含むグループに対して使用可能な意図でターゲットに設定され、ユーザーがポータル サイトからアプリのインストールを要求した場合、Intune はデバイス ベースの割り当てを作成して、チェックイン中にアプリを処理するためのユーザーの同意と内部ターゲットの両方を追跡します。 このデバイス ベースの割り当ては、デバイスにアプリをインストールするために使用されます。 ただし、アプリのライフサイクル中にターゲット設定が変更される状況では、いくつかのシナリオが発生する可能性があります。 アプリがデバイスに既にインストールされたら、次のいずれかの操作を実行すると、Intune によってユーザーの同意が削除され、アプリは使用可能な意図でターゲットされなくなります。

  1. ユーザーは、Microsoft Entra管理センターの対象グループのグループ メンバーシップから削除します。
  2. 対象グループへの割り当てを削除しました。
  3. アプリの意図を [使用可能] から別のものに変更しました。 たとえば、意図を [アンインストール] または [ 除外] に変更できます。

後で 使用可能 な意図でアプリを再ターゲットした場合でも、ユーザーの同意が削除されたため、自動更新の置き換えは行われないことに注意してください。

注:

アンインストール意図は、使用可能な意図よりも優先されます。

自動更新の再試行動作

何らかの理由でスーパーセッション アプリが自動更新とインストールに失敗した場合、ユーザーがポータル サイトからアプリのインストールを要求するまで、Intune は無期限に再試行します。 ユーザーがアプリのインストールを要求すると、Intune はバックエンドの要求の種類を変更して、ユーザーがインストールしたことを反映し、インストールの再試行の続行を停止します。

自動更新シナリオ

アプリ A を置き換えるためにアプリ B が作成された特定のケースを次に示します。

ケース シナリオ 結果
アプリ A はデバイスにまだ存在します。 アップグレードは、最初に使用可能なチェック後に既にトリガーされますが、アプリ B がデバイスにインストールされる前に、管理者はアプリ A とアプリ B の関係を削除して、独立したアプリにします。 2 つ目の利用可能なチェックイン中に、両方のアプリがデバイスに送信され、アプリ B が独立したアプリとしてインストールされます。
自動更新設定の変更 アップグレードは、最初に使用可能なチェックイン後に既にトリガーされますが、アプリ B がデバイスにインストールされる前に、管理者はアプリ B の自動更新設定を false に変更します。 2 つ目の利用可能なチェックイン中に、アプリ B がデバイスに送信され、アプリ A がデバイス上のアプリ B と共にアップグレードされます。
アプリ エンティティの作成後に置き換えられたアプリをアンインストールする アップグレードは、最初に使用可能なチェック後に既にトリガーされますが、アプリ B がデバイスにインストールされる前に、ユーザーはアプリ A のアンインストールを要求し、アプリ A がデバイスから削除されます。 2 つ目の利用可能なチェックイン中に、アプリ B がデバイスに送信され、アプリ A がデバイス上のアプリ B と共にアップグレードされます。
置き換え更新後のアンインストール アプリ A はアプリ B に自動更新されましたが、アプリ A はデバイスから削除されませんでした。 その後、ユーザーはデバイスからアプリ B のアンインストールを要求し、アプリ B は正常にアンインストールされます。 アプリ A はデバイスにまだ存在します。
アップグレードエラー Intune はアプリ A をアプリ B に自動更新しようとしますが、アプリ B のインストールに失敗し、アプリ A は既にデバイスから削除されています。 ユーザーはアプリ B に置き換えられるため、ポータル サイトからアプリ A を再インストールすることはできませんが、ポータル サイトからアプリ B を再インストールすることはできます。

制限事項:

  • アプリケーション割り当ての変更により、アプリの自動更新を担当するコンポーネントが削除されます。

  • このコンポーネントを手動で構成することはできません。これは、エンド ユーザーがポータル サイト経由でアプリをインストールした後に作成されます。

  • アプリの割り当ては、インストール後に割り当てが変更され、最終的に自動更新が中断されないように、事前に十分に調査する必要があります。

次の手順